All
Search
Images
Videos
Maps
News
More
Shopping
Flights
Travel
Notebook
Report an inappropriate content
Please select one of the options below.
Not Relevant
Offensive
Adult
Child Sexual Abuse
Top suggestions for F=G
FGX
How to Find
G of F OFX
CFG
AM
F G
2
F G
5
K.G.f
2018
Domain of
F G
KGF
Song
F G
4
Fog
F of G
Functions
How to Solve
F of G
How to Convert F
X to G X
Domain of F
X UGX
GBF
How to Do
F of G
F G
0
Kannada KGF
2 Movies
Fog
Calculus
ABC
EFG
Length
All
Short (less than 5 minutes)
Medium (5-20 minutes)
Long (more than 20 minutes)
Date
All
Past 24 hours
Past week
Past month
Past year
Resolution
All
Lower than 360p
360p or higher
480p or higher
720p or higher
1080p or higher
Source
All
Dailymotion
Vimeo
Metacafe
Hulu
VEVO
Myspace
MTV
CBS
Fox
CNN
MSN
Price
All
Free
Paid
Clear filters
SafeSearch:
Moderate
Strict
Moderate (default)
Off
Filter
FGX
How to Find
G of F OFX
CFG
AM
F G
2
F G
5
K.G.f
2018
Domain of
F G
KGF
Song
F G
4
Fog
F of G
Functions
How to Solve
F of G
How to Convert F
X to G X
Domain of F
X UGX
GBF
How to Do
F of G
F G
0
Kannada KGF
2 Movies
Fog
Calculus
ABC
EFG
0:50
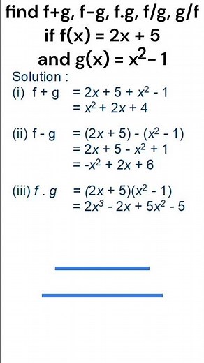
Find f+g, f-g, fg, f/g, g/f of functions f(x) =2x +5 and g(x) =x²–1, Sum dif
…
5.5K views
Apr 25, 2023
YouTube
UpSkill Excel
0:07
A B C D E F Gun Easy Piano Tutorial #shorts #viral #pianotutorial
27.1K views
3 weeks ago
YouTube
Piano Whispers
0:27
ABC Song Lowercase Letters #abcsong #puzzlegame #alphabet
631K views
1 month ago
YouTube
Eugene GG
0:38
Learn Letters E F G H 🔤 | ABC Learning Song for Kids & Prescho
…
106.3K views
3 weeks ago
YouTube
Chuk Chuk Gadi – Nursery Rhymes & Kids Songs
0:46
ABC Song for Kids | A to Z Alphabet Song | Catchy ABC Learning #abc
…
8M views
1 month ago
YouTube
RiRi Kids - Toddler Learning Videos For Kids
1:59
#SimuLiu on #ShangChi joining the #Avengers: “It’s about f*****g time
…
20.1K views
2 weeks ago
YouTube
The Tonight Show Starring Jimmy Fallon
0:28
Am - F - C - G Chord Progression | Guitar Exercise for Beginners and
…
660 views
Aug 20, 2024
YouTube
Master Chords
0:16
About last night.. Bad Omens “Do you feel love Tour” 02.12.25 Paris,
…
60.3K views
1 month ago
TikTok
r.i.f.f.g.r.a.v.e
4:09
Chain word Challenge #relationshipgoals #fyp #familiaun
…
218.8K views
1 month ago
TikTok
familia.unfiltered
0:35
#pov #skit #funny #acting #story #fyp #foryou #foryoupage #fyp シ
…
4K views
1 week ago
YouTube
f g h t d
2:30
F-150
1.8M views
10 months ago
YouTube
Kidd G - Topic
1:11
The Boston Globe on Instagram: "Providence Police have identifie
…
4.6K views
2 weeks ago
Instagram
bostonglobe
1:01
#pov #skit #funny #acting #story#fyp #foryou#foryoupage #f
…
3.2M views
1 month ago
YouTube
g g h h h h g f g
0:28
The Alphabet Song for Kids: Cutest ABCs by Twin Twin 🎶
29.7M views
1 month ago
YouTube
Twin Twin
1:53
#movie #film #fyp #foryoupage #fypシ | Movie Clip Scenes
11.2M views
2 weeks ago
TikTok
keepmovie_f
0:49
ABC Song for Kids | Cute Alphabet Pairs A–Z | Uppercase & Lowercas
…
1.2M views
3 weeks ago
YouTube
RiRi Kids - Toddler Learning Videos For Kids
1:22
The start of something new and i’m thankful for it @GADISMagz #gadi
…
910.8K views
1 week ago
TikTok
faebernicerobin
0:11
Richarlison is a problem 😂 #richarlison #tottenham #liverpoo
…
869.3K views
1 week ago
TikTok
nunohdd
0:13
#foryou #trendiing #viral
121.5K views
2 weeks ago
TikTok
le.vostre_croci
0:45
Banoniga Lasheego: Madadaalada iyo Xushmadaha Kudhaxeeya
1.6M views
3 months ago
TikTok
cabdulaahi_f.g
See more videos
More like this
Short videos
0:50
Find f+g, f-g, fg, f/g, g/f of functions f(x) =2x +5 and g(
…
5.5K views
Apr 25, 2023
YouTube
UpSkill Excel
0:07
A B C D E F Gun Easy Piano Tutorial #shorts #viral #pia
…
27.1K views
3 weeks ago
YouTube
Piano Whispers
0:27
ABC Song Lowercase Letters #abcsong #puzzlegame #al
…
631K views
1 month ago
YouTube
Eugene GG
0:38
Learn Letters E F G H 🔤 | ABC Learning Song for Kids & P
…
106.3K views
3 weeks ago
YouTube
Chuk Chuk Gadi – Nursery Rhymes …
0:46
ABC Song for Kids | A to Z Alphabet Song | Catchy AB
…
8M views
1 month ago
YouTube
RiRi Kids - Toddler Learning Videos F…
1:59
#SimuLiu on #ShangChi joining the #Avengers: “It’
…
20.1K views
2 weeks ago
YouTube
The Tonight Show Starring Jimmy Fall…
0:28
Am - F - C - G Chord Progression | Guitar Exerci
…
660 views
Aug 20, 2024
YouTube
Master Chords
0:16
About last night.. Bad Omens “Do you feel love Tour” 02.
…
60.3K views
1 month ago
TikTok
r.i.f.f.g.r.a.v.e
4:09
Chain word Challenge #relationshipgoals #fyp #fa
…
218.8K views
1 month ago
TikTok
familia.unfiltered
0:35
#pov #skit #funny #acting #story #fyp #foryou #foryo
…
4K views
1 week ago
YouTube
f g h t d
2:30
F-150
1.8M views
10 months ago
YouTube
Kidd G - Topic
1:11
The Boston Globe on Instagram: "Providence Pol
…
4.6K views
2 weeks ago
Instagram
bostonglobe
1:01
#pov #skit #funny #acting #story#fyp #foryou#foryou
…
3.2M views
1 month ago
YouTube
g g h h h h g f g
0:28
The Alphabet Song for Kids: Cutest ABCs by Twin Twin 🎶
29.7M views
1 month ago
YouTube
Twin Twin
1:53
#movie #film #fyp #foryoupage #fypシ | Movi
…
11.2M views
2 weeks ago
TikTok
keepmovie_f
0:49
ABC Song for Kids | Cute Alphabet Pairs A–Z | Upper
…
1.2M views
3 weeks ago
YouTube
RiRi Kids - Toddler Learning Videos F…
1:22
The start of something new and i’m thankful for it @GA
…
910.8K views
1 week ago
TikTok
faebernicerobin
0:11
Richarlison is a problem 😂 #richarlison #tottenham #li
…
869.3K views
1 week ago
TikTok
nunohdd
0:13
#foryou #trendiing #viral
121.5K views
2 weeks ago
TikTok
le.vostre_croci
0:45
Banoniga Lasheego: Madadaalada iyo Xushmad
…
1.6M views
3 months ago
TikTok
cabdulaahi_f.g
Feedback